485 donantes a campañas políticas recibieron contratos públicos por valor de 169 mil millones de pesos: MOE
En el lanzamiento de la plataforma de organizaciones que realizarán monitoreo a las elecciones de 2019, la Misión de Observación Electoral -MOE- entregó los resultados de la investigación sobre la relación entre financiación de campañas y contratación pública en las elecciones locales de 2015. La MOE encontró que en 183 municipios donde las administraciones locales adjudicaron contratación a sus financiadores, estas se efectuaron usando modalidades de único proponente y sin criterios de transparencia.
La investigación de la MOE tomó la información entregada por el Fondo Nacional de Financiación Política (FNFP) del Consejo Nacional Electoral (CNE) sobre la financiación reportada por 1095 alcaldes y 32 gobernadores elegidos en el 2015 y la cruzó con la totalidad de la contratación reportada en el portal Colombia Compra Eficiente para los años 2016, 2017 y 2018 (corte 28 de abril).
Gracias a esta información y usando los números únicos de identificación (cédula de ciudadanía o NIT), la MOE logró encontrar tres modalidades a través de las cuales se favorecían a financiadores de campañas políticas: 1. financiadores privados que recibieron contratos directamente de quienes quedaron elegidos; 2. financiadores de gobernadores electos que recibieron contratos en municipios pertenecientes al departamento y; 3. financiadores de campañas a la alcaldía que recibieron contratos en distintos municipios del mismo departamento.
Hay que anotar que esta investigación omite los reportes de financiación realizados por el mismo candidato, la familia y los créditos financieros, concentrándose exclusivamente en analizar las personas naturales o jurídicas que realizaron donaciones a las campañas de los actuales alcaldes o gobernadores.
Todos los análisis y datos encontrados ya fueron entregados a la Fiscalía General de la Nación con el fin que se inicien las investigaciones pertinentes. Por otra parte, la MOE sostendrá reuniones con otras autoridades como la Procuraduría General de la Nación, la Contraloría, Colombia Compra Eficiente y el Consejo Nacional Electoral para tratar en detalle los resultados de la investigación.
La MOE recuerda que el otorgamiento de contratos a empresas y personas financiadoras de campañas no es un delito ni regularidad mientras se cumpla con los topes y criterios definidos en la ley. Sin embargo, esta investigación demostró que en el 65% de los contratos se usan modalidades que favorecen a un solo proponente, lo que si llama la atención de la organización.
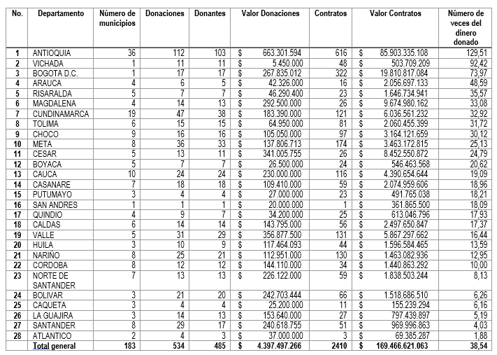
Contrataciones con características atípicas para los financiadores de campaña.
La MOE encontró que 485 donantes hicieron 534 aportes a campañas políticas por una cifra cercana a los 4.400 millones de pesos (4.397.497.266) a candidatos a alcaldías y gobernaciones y recibieron en contratación 169 mil millones de pesos (169.466.621.063); esto equivale a 39 veces el dinero donado a las campañas.
A pesar de que lo anterior no representa necesariamente delitos, la investigación si señaló que los municipios y departamentos identificados tienen una dinámica de contratación pública bastante atípica e irregular. Según lo encontrado, la contratación directa, la contratación hecha vía régimen especial y la de mínima cuantía, son características comunes en la información entrega a la Fiscalía. Para la MOE es necesario que en todos los procesos de contratación se surtan procesos competitivos, transparentes y eficientes.
Según Alejandra Barrios, directora de la MOE, “el 65% de los 2410 contratos otorgados a los financiadores de campañas fueron adjudicados a dedo, lo que fácilmente se podría interpretar como una retribución de la donación hecha en campaña. Solo el 34% restante fueron licitaciones públicas, subastas y concursos de méritos.”
Otra característica que resalta la MOE es que el 87% del monto fue contratado en los dos primeros años de gobierno. Esto quiere decir que los mandatarios electos tienden a adjudicar de forma rápida a quienes financiaron la campaña. DE otra parte, la MOE llamó la atención sobre la duración de los contratos los cuales en el 83% de los casos se ejecutan en menos de 5 meses.
Para Alejandra Barrios, “estamos ante la posibilidad de ver de cerca la relación entre contratación y financiación de campañas, desde una metodología innovadora que podría servir a las autoridades para identificar cuando la financiación de campañas busca empeñar la administración local a favor de redes de clientelismo y corrupción en los municipios”
Tabla 1. Relación entre donación y contratación de financiadores de campañas a gobernaciones y alcaldías.

Según los resultados de la investigación realizada por la MOE, en 183 municipios el financiador del candidato ganador recibió contratos de la administración a la que donó. En estos casos la MOE encontró que 423 financiadores privados donaron cerca de 3.500 millones de pesos y recibieron contratos por 15.131 mil millones de pesos. Esto equivale a 42 veces el dinero donado en campaña.
En cuanto a los departamentos, la investigación identificó que 18 de las 32 gobernaciones del país (56%) dieron al menos un contrato a aquellas personas que ayudaron a financiar sus campañas electorales. En estos departamentos se encontró que 62 personas naturales o jurídicas donaron 840 millones de pesos y recibieron 18 mil millones de pesos. Esto equivale a 22 veces el dinero donado.
Casos más atípicos
Teniendo en cuenta que las personas naturales o jurídicas que hayan financiado campañas políticas con aportes superiores al 2% del tope máximo a invertir por los candidatos, no pueden celebrar contratos con entidades públicas, la MOE hizo un rastreo con el fin de identificar en cuáles casos esta normatividad se estaría incumpliendo.
De acuerdo con la MOE, de los 485 financiadores de campañas que recibieron contratos públicos, 267 (55%) superaron el límite máximo de donaciones del 2%. Es decir, no podían contratar con el Estado salvo que el objeto fuera prestación de servicios profesionales. De hecho, la MOE encontró 138 municipios en los que los datos indican que se sobrepasó este tope.
Para Alejandra Barrios, “estamos ante un panorama en el que cerca de 100 mil millones de pesos fueron dados a personas posiblemente inhabilitadas para contratar con el Estado. Pero lo más grave es que a pesar de esto, no existe en la reforma política ningún tipo de abordaje a este problema”.

